Questo articolo nasce dalla voglia di rispondere ad un nostro lettore che nell'analisi dello scorso Gran Premio del Messico ci ha lasciato questo commento:
"Addirittura Hamilton avrebbe perso 3 decimi e mezzo al giro per due alette perse sul diffusore..."

Facendo un piccolo passo indietro, stiamo parlando del danno al diffusore subito da Lewis Hamilton nel corso del primo giro del Gran Premio del Messico. C'è subito da sottolineare che il danno non è stato causato direttamente dal contatto con Sebastian Vettel ma solo successivamente, per via della conseguente foratura alla posteriore destra generata dal contatto con il pilota tedesco della Ferrari.
Se dall'immagine appena sopra si può ben vedere (freccia gialla) che nel momento successivo del contatto, quando la posteriore destra era ancora chiaramente gonfia, gli archetti nella parte esterna del diffusore della Mercedes W08 erano ancora presenti, ciò non si può dirlo quando sulla vettura del pilota inglese sono stati sostituiti gli pneumatici.

Mercedes W08: nell'immagine in alto è ben evidente il danno sulla W08 di Hamilton del Messico GP
Un danno piuttosto importante che in Mercedes hanno quantificato in 0.35 secondi al giro ossia ben 25 secondi nell'arco dell'intera gara. Ma andiamo a capire il perché "2 alette perse" sulla parte esterna di un diffusore di Formula 1 possono generare un problema cronometrico anche cosi importante.
L'obbiettivo dei vari progettisti di vetture da F1 è sempre stato quello di trovare una maggiore deportanza minimizzando la resistenza aerodinamica ossia, detto in parole molto più semplici, aumentare l'efficienza aerodinamica di una monoposto. Se a prima vista è piuttosto semplice osservare come gli aerodinamici lavorino sulla parte esterna della scocca andando a inserire più o meno appendici aerodinamiche, meno evidente è il grande lavoro che svolgono invece al di sotto e nella parte posteriore della monoposto (con interventi ovviamente molto più complicati da notare).

Immagine Symscape di un diffusore "classico"
Stiamo parlando di quelle zone che comunemente vengono chiamate fondo piatto e diffusore, componenti che, se ottimamente progettati, permettono di generare importanti valori di deportanza con un contenuto incremento nei punti totali di resistenza all'avanzamento della monoposto.
In questo articolo voglio soffermarmi principalmente sulla parte "diffusore", e più in particolare sulla parte esterna (quella mancante sulla W08 di Hamilton in Messico anche se il discorso vale in generale) di questo fondamentale componente delle attuali vetture di F1. Per riuscire a generare maggior carico dal fondo vettura i vari Team nelle ultime stagioni si sono concentrati molto sulla zona in questione basti vedere (immagine successiva) quanto sia complessa sulla Ferrari SF70H.
Diverse specifiche di diffusori Ferrari: notare la complessità e la curi nei dettagli
Per generare maggior downforce (carico aerodinamico in inglese) è fondamentale aumentare il rapporto di espansione del diffusore ossia lavorare sul rapporto tra la sezione trasversale del diffusore e quella del fondo vettura. Per far ciò è cruciale riuscire ad espandere lateralmente il diffusore senza causare la separazione del flusso (che è poi la vera difficoltà). Il problema dei vari progettisti è che man mano si cerca di espandere il flusso lateralmente, più ci si avvicina alla scia dello pneumatico posteriore, zona di bassa pressione ad alta turbolenza (quindi con alta dissipazione di energia che genera spesso separazione).
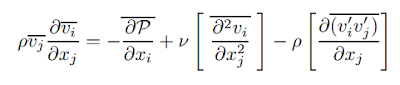
Analiticamente per spiegare che l'interazione tra il flusso in uscita dalle parti esterne del diffusore e la zona di bassa pressione situata dietro agli pneumatici posteriori è solamente deleteria in termini di efficienza d'estrazione del carico aerodinamico dal componente diffusore, è opportuno rispolverare le tanto odiate (dagli studenti di ingegneria meccanica e aerospaziale) equazioni di Navier-Stokes nel moto turbolento. A queste ci si arriva partendo dalle equazioni di Navier-Stokes nella loro forma classica (moto laminare) e adattandole al caso turbolento secondo il metodo della decomposizione di Reynolds.
Che cosa rappresentano i termini alla destra di questa importante equazione "fluidodinamica" (senza entrare troppo nei dettagli per evitare di rendere l'articolo troppo tedioso)? Innanzitutto sono da considerarsi tutti delle forze con il primo termine che è quello che tiene conto della pressione (del suo gradiente più precisamente) con un fluido che tenderà a spostarsi da una zona di alta pressione verso una di bassa pressione. Il secondo termine rappresenta invece la forza che viene a generarsi per via della viscosità del fluido o meglio rappresenta la forza dovuta al gradiente degli sforzi deviatorici medi.Ma il termine più importante per spiegare perché i vari tecnici cercano di non fare interagire il flusso in uscita dal diffusore con la scia dello pneumatico posteriore è il terzo che riguarda precisamente la parte di stress turbolento come fonte di accelerazione nel flusso medio. Il segno negativo ci indica come il flusso d'aria in uscita da una regione ad alta turbolenza tende ad avvicinarsi ad una regione a bassa turbolenza (la scia dello pneumatico tende ad "entrare nel diffusore" riducendo il rapporto di espansione), un qualcosa di deleterio per quanto riguarda il rapporto di espansione di un diffusore per vetture di Formula 1. Introdurre infatti turbolenze in un flusso utile a generare carico aerodinamico significherebbe inserire delle perdite (sotto forma di calore) e quindi avere una minor efficienza di generazione (minor downforce generata / maggior resistenza all'avanzamento). E' fondamentale sia nella parte fondo piatto che in quella del diffusore mantenere il flusso il più possibile non turbolento minimizzando così le perdita di pressione e la turbolenza. Piccola precisazione: è per questo che sul diffusore vengono inseriti dei profili verticali (il gradiente di pressione avverso può causare fenomeni turbolenti).
Come fanno quindi i Team ad espandere lateralmente il diffusore senza far interagire tale flusso con la scia turbolenta degli pneumatici posteriori? Vanno a staccare dei vortici dalle parti esterne del diffusore per "spingere" il più lontano possibile dal diffusore la scia della ruota. Questo permette sicuramente di aumentare il rapporto di espansione del diffusore senza provocare la separazione del flusso che causerebbe una duplice conseguenza: deleteria perdita di carico aerodinamico e conseguente aumento di resistenza all'avanzamento sul posteriore della vettura.
Ciò che ha avuto Lewis Hamilton durante il Gran Premio del Messico vista la mancanza degli archetti esterni che hanno il compito di allontanare la scia dello pneumatico posteriore dal flusso in uscita dal diffusore. Mancando, sono state importanti le perdite di carico aerodinamico nella parte posteriore destra dalla vettura che hanno ovviamente sbilanciato anche il "comportamento aerodinamico" della sua W08.
Articolo originale su f1analisitecnica.com